The trap efficiency (TE) of a reservoir is a measure of how effectively it retains sediment, expressed as the ratio of the sediment load retained in the reservoir to the total sediment load entering the reservoir. To estimate trap efficiency, one can compare the settling velocity of sediment to a critical settling velocity, as suggested by Camp in 1945. The settling velocity is determined based on the chosen method for the Basin Model. The critical settling velocity is calculated as the discharge rate from the reservoir divided by its surface area. These calculations are performed separately for different grain size classes or subclasses.
Camp (1945) conducted a study on sedimentation in an ideal rectangular continuous flow basin or settling tank, as depicted in Figure 1. This model assumes conditions of quiescent and steady flow, complete mixing of water and sediment, and no resuspension. When sediment flows into the tank, discrete particles settle with a settling velocity (vs), which varies with particle size. In an ideal setting, one can define a critical settling velocity (vc) for the pond. Particles with vs equal to vc settle in the pond just before they exit. This critical settling velocity depends on the water depth (d) and the time required for water to flow through the pond (T):

where:
l and b are the length and width of the settling zone, respectively;
v is the water velocity through the pond;
A is the surface area of the pond; and
Q is the in- or outflowing discharge.

Figure 1. Settling conditions in an ideal rectangular settling basin (Camp, T.R. 1945)
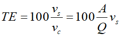
The critical settling velocity is therefore equal to the overflow rate of the pond. For an ideal rectangular pond, the fraction of particles trapped with vs less than vc is given by the TE:

Chen (1975) modified above equation for turbulent flow conditions:

HEC-HMS employs the equation corresponding to Chen's TE method for its calculations.