The following sample calculations were the basis for the algorithms used in the HEC-RAS sediment transport functions. They were computed for a single grain size, however they were adapted in the code to account for multiple grain sizes.
Ackers-White Sediment Transport Function
by Ackers-White (ASCE Jour. Of Hyd, Nov 1973)
Input Parameters
| Temperature, F | T = 55 | Average Velocity, ft/s | V = 2 |
| Kinetic viscosity, ft2/s | | Discharge, ft3/s | Q = 5000 |
| Depth, ft | D = 10 | Unit Weight water, lb/ft3 | |
| Slope | S = 0.001 | Overall d50, ft | d50 = 0.00232 |
| Median Particle Diamter, ft | dsi = 0.00232 |
|
|
| Specific Gravity of Sediment, | s = 2.65 |
|
|
Constants
| Acceleration of gravity, ft/s2 | g = 32.2 |
Solution
Note
Ackers-White required the use of d35 as the representative grain size for computations in their original paper. In the HEC-RAS approach, the median grain size will be used as per the 1993 update. The overall d50 is used for the hiding factor computations.
Hiding Factor from Profitt and Sutherland has been added for this procedure, but will be included as an option in HEC-RAS.
Computations are updated as per Acker's correction in Institution of Civil Engineers Water Maritime and Energy, Dec 1993.
Dimensionless grain diameter,
|
\displaystyle d_{gr} = d_{si} \left[ \frac{g \cdot (s-1)}{\nu ^2} \right] ^{\frac{1}{3}} |
Shear velocity u
|
\displaystyle u_{star} = \sqrt{g \cdot D \cdot S} |
Sediment size-related transition exponent n,
|
\displaystyle n= \left| \begin{array} 1 1 & if \; d_{gr} \leq 1 \\ (1-0.056 \cdot log(d_{gr})) & if \; 1<d_{gr} \leq 60 \\ 0 & if \; d_{gr} > 60 \end{array} |
Initial motion parameter A,
|
\displaystyle A= \left| \begin{array} 1 ( \frac{0.23}{\sqrt{d_{gr}}} +0.14) & d_{gr} \leq 60 \\ 0.17 & otherwise \end{array} |
Sediment mobility number Fgr
\alpha =10 (assumed value used in HEC6 and SAM) \alpha =10
|
\displaystyle F_{gr} = \frac{u_{star}^n}{\sqrt{g \cdot d_{si} \cdot (s-1)}} \cdot \left( \frac{V}{\sqrt{32} \cdot log \left( \alpha \cdot \frac{D}{d_{si}} \right)} \right) ^{1-n} |
Hiding Factor HF,
Shield's Mobility Parameter \theta,
|
\displaystyle \theta = \frac{u_{star}^2}{g \cdot (s-1) d_{50}} |
|
\displaystyle dRatio = \left| \begin{array} 1 1.1 & if \; \theta \leq 0.04 \\ (2.3-30 \cdot \theta ) & if \; 0.04 < \theta \leq 0.045 \\ (1.4-10 \cdot \theta ) & if \; 0.045 < \theta \leq 0.095 \\ 0.45 & otherwise \end{array} |
|
dAdjust=d_{50} \cdot dRatio |
|
dAdjust=1.044 \times 10^{-3} |
|
\displaystyle HFRatio = \frac{d_{si}}{dAdjust} |
|
\displaystyle HF = \left| \begin{array} 1 1.30 & if \; HFRatio \geq 3.7 \\ (0.53 \cdot log(HFRatio)+1 & if \; 0.075 < HFRatio \leq 3.7 \\ 0.40 & otherwise \end{array} |
Adjust Sediment Mobility Number for Hiding Factor
Check for too fine sediment based on Fgr and A,
|
\displaystyle Check= \frac{F_{gr}}{A} |
Sediment transport function exponent m,
|
\displaystyle m= \left| \begin{array} 1 ( \frac{6.83}{d_{gr}}+1.67) & if \; d_{gr} \leq 60 \\ 1.78 & otherwise \end{array} |
Check for too fine sediment based on m,
|
\displaystyle Check= \left| \begin{array} 1 0 & if \; m>6 \\ Check & otherwise \end{array} |
Sediment transport function coefficient C,
|
\displaystyle C= \left| \begin{array} 1 10^{2.79 \cdot log(d_{gr})-0.98(log(d_{gr}))^2 -3.46} & if \; d_{gr} \leq 60 \\ 0.025 & otherwise \end{array} |
Transport parameter Ggr,
|
\displaystyle G_{gr} =C \cdot \left( \frac{F_{gr}}{A}-1 \right) ^m |
Sediment flux X, in parts per million by fluid weight,
|
\displaystyle X= \frac{G_{gr} sd_{si}}{D \left( \frac{u_{star}}{V} \right)^n} |
Sediment Discharge, lb/s
|
\displaystyle G= \gamma _w QX |
Sediment Discharge, tons/day
|
\displaystyle G_s = \frac{86400}{2000} \cdot G |
Check to make sure particle diameter and mobility functions are not too low,
|
\displaystyle G_s = \left| \begin{array} 1 G_s & if \; Check >1 \\ 0 & otherwise \end{array} |
Engelund Hansen Sediment Transport Function
by Vanoni (1975), and Raudkivi (1976)
Input Parameters
| Temperature, F | T = 55 | Average Velocity, ft/s | V = 5.46 |
| Kinematic viscosity, ft2/s | |
|
|
| Depth, ft | D = 22.9 | Unit Weight water, lb/ft3 | |
| Slope | S = 0.0001 |
|
|
| Median Particle Diamter, ft | dsi = 0.00232 | Channel Width, ft | B = 40 |
| Specific Gravity of Sediment | s = 2.65 |
|
|
Constants
| Acceleration of gravity, ft/s2 | g=32.2 |
Solution
Bed level shear stress \tau _o,
|
\tau _o = \gamma _w \cdot D \cdot S |
Fall diameter df,
|
d_f = \left| \begin{array} 1 (-69.07 \cdot d_{si}^2 +1.0755 \cdot d_{si} +0.000007) & if \; d_{si} \leq 0.00591 \\ (0.1086 \cdot d_{si}^{06462} ) & otherwise \end{array} |
|
d_f = 2.13 \times 10^{-3} |
Sediment discharge lb/s,
|
\displaystyle g_s =0.05 \cdot \gamma _w \cdot s \cdot V^2 \cdot \sqrt{\frac{d_f}{g \cdot (s-1)}} \cdot \left[ \frac{\tau _o}{(\gamma _w \cdot s - \gamma _w ) \cdot d_f} \right] ^{\frac{3}{2}} |
Sediment discharge ton/day,
|
\displaystyle G_s = g_s \cdot \frac{86400}{2000} |
Laursen-Copeland Sediment Transport Function
by Copeland (from SAM code, 1996)
Input Parameters
| Temperature, F | T = 55 | Average Velocity, ft/s | V = 5.46 |
| Kinematic viscosity, ft2/s | | Discharge, ft3/s | Q=5000 |
| Depth, ft | D = 22.90 | Unit Weight water, lb/ft3 | |
| Slope | S = 0.0001 | 84% Particle diameter, ft | d84 = 0.00294 |
| Median Particle Diamter, ft | dsi = 0.00232 |
|
|
| Specific Gravity of Sediment | s = 2.65 |
|
|
Constants
| Acceleration of gravity, ft/s2 | g=32.2 |
Solution
Note
the difference between the final result presented here and the result in SAM is due to the method for determining fall velocity. Rubey is used here, whereas SAM computes a
value based on a drag coefficient determined from Reynolds number. Calculation routine taken from SAM. Because the grain distribution is reduced to standard grade sizes representing each present grade class, the d84 will equal the standard grade size, dsi, in this procedure.
Grain-related hydraulic radius R
|
\displaystyle R'= \frac{0.0472 \cdot V^{\frac{3}{2}} \cdot (3.5 \cdot d_{84} ) ^\frac{1}{4}}{(g \cdot S )^{\frac{3}{4}}} |
R' = 15.248


R' = 15.248
Grain-related bed shear stress \tau '_b,
|
\tau '_b = R' \cdot \gamma _w \cdot S |
|
\tau _b = D \cdot \gamma _w \cdot S |
|
\displaystyle \tau '_b = \left| \begin{array} 1 \tau '_b & if \; \tau '_b < \tau _b \\ \tau _b & otherwise \end{array} |
|
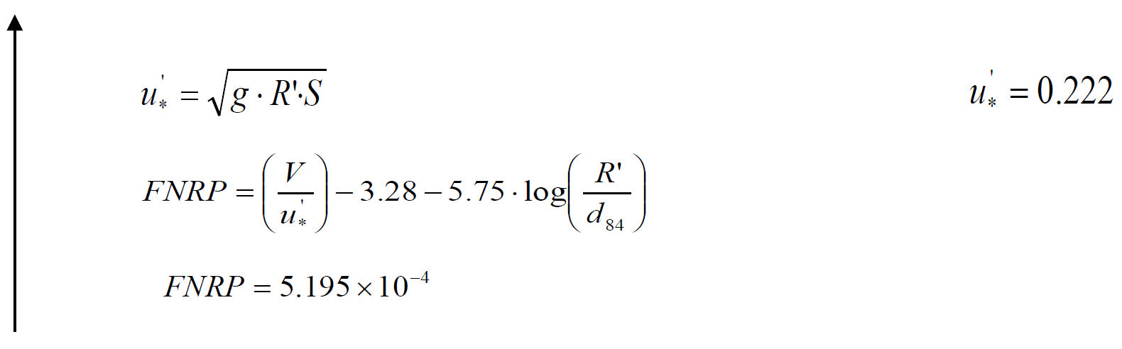
\displaystyle u'_* = \sqrt{\frac{\tau'_b \cdot g}{\gamma _w}} |
|
RRP = \left( \frac{d_{si}}{R} \right) ^{1.16667} |
Dimensionless bed shear stress \tau ^*_b,
|
\displaystyle \tau ^*_b = \frac{\tau '_b}{\gamma _w \cdot (s-1) \cdot d_{si}} |
Shield's parameter for course grains \theta ^*,
|
\theta ^* =0.647 \cdot \tau ^* _b + 0.0064 |
|
\displaystyle \theta ^* = \left| \begin{array} 1 0.02 & if \; \theta ^* < 0.02 \\ \theta ^* & otherwise \end{array} |
Critical shear stress, \tau _{cr}
|
\displaystyle \tau _{cr} = \left| \begin{array} 1 [\theta ^* \cdot \gamma _w \cdot (s-1) \cdot d_{si} ] & if \; \tau^*_b \leq 0.05 \\ [0.039 \cdot \gamma _w \cdot (s-1) \cdot d_{si} ] & otherwise \end{array} |
|
\tau _{cr} = 9.315 \times 10^{-3} |
Shear stress mobility parameter TFP,
|
\displaystyle TFP = \frac{\tau ' _b}{\tau _{cr}} -1 |
Fall velocity \omega,
Use Rubey's equation, Vanoni p. 169
|
\displaystyle F_1 = \sqrt{\frac{2}{3} + \frac{36 \cdot \nu ^2}{g \cdot d_{si}^3 \cdot (s-1)}} - \sqrt{\frac{36 \cdot \nu ^2}{g \cdot d_{si}^3 \cdot (s-1)}}} |
|
\omega = F_1 \cdot \sqrt{(s-1) \cdot g \cdot d_{si}} |
Particle velocity ratio SF,
|
\displaystyle SF= \frac{u_*}{\omega} |
Particle velocity ratio parameter \Psi,
|
\displaystyle \Psi = \left| \begin{array} 1 [7.04 \cdot 10^{15} \cdot (SF)^{22.99} ] & if \; SF \leq 0.225 \\ (40.0 \cdot SF) & if \; 0.225 < SF \leq 1.0 \\ (40 \cdot SF ^{1.843} ) & if \; SF >1.0 \end{array} |
Sediment transport Gs, tons/day
|
G_s =0.432 \cdot \gamma _w \cdot Q \cdot RRP \cdot TFP \cdot \Psi |
Meyer-Peter Muller Sediment Transport Function
by Vanoni (1975), and Schlichting's Boundary Layer Theory, 1968
Input Parameters
| Temperature, F | T = 55 | Average Velocity, ft/s | V = 5.46 |
| Kinematic viscosity, ft2/s | | Discharge, ft3/s | Q=5000 |
| Depth, ft | D = 22.90 | Unit Weight water, lb/ft3 | |
| Slope | S = 0.0001 | 84% Particle diameter, ft | d84 = 0.00294 |
| Median Particle Diamter, ft | dsi = 0.00232 | Channel Width, ft | B = 40 |
| Specific Gravity of Sediment | s = 2.65 |
|
|
Constants
| Acceleration of gravity, ft/s2 | g=32.2 |
Solution
Shear velocity u,
|
u_* = \sqrt{g \cdot D \cdot S} |
Shear Reynold's number, R_s,
|
\displaystyle R_s = \frac{u_* \cdot d_{90}}{\nu} |
Schlichting's B coefficient, BCoeff
|
\displaystyle BCoeff = \left| \begin{array} 1 (5.5 + 2.5 \cdot ln(R_s)) & if \; R_s \leq 5 \\ \begin{bmatrix} 0.297918+24.8666 \cdot log(R_s) -22.9885 \cdot (log(R_s))^2 ... \\ +8.5199 \cdot (log(R_s))^3 -1.10752 \cdot (log(R_s))^4 \end{bmatrix} & if \; 5<R_s \leq 70 \\ 8.5 & otherwise \end{array} |
Friction factor due to sand grains f',
|
\displaystyle f' = \left( \frac{2.82843}{BCoeff -3.75+2.5 \cdot ln \left( 2 \cdot \frac{D}{d_{90}} \right)} \right)^2 |
Nikaradse roughness ratio RKR,
|
\displaystyle RKR = \sqrt{\frac{f'}{8}} \cdot \frac{V}{\sqrt{g \cdot D \cdot S}} |
Sediment discharge lb/s,
|
\displaystyle g_s = \left( \frac{(RKR)^{frac{3}{2}} \cdot \gamma _w \cdot D \cdot S -0.047 \cdot (\gamma _w \cdot s -\gamma _w ) \cdot d_{si}}{0.25 \cdot \left( \frac{\gamma _w}{g} \right) ^{\frac{1}{3}} \left( \frac{\gamma _w \cdot s- \gamma _w}{\gamma _w \cdot s} \right) ^{\frac{2}{3}}} \right)^{frac{3}{2}} \cdot B |
Sediment discharge ton/day,
|
\displaystyle G_s = g_s \cdot \frac{86400}{2000} |
Toffaleti Sediment Transport Function
by Vanoni, for single grain size
Input Parameters
| Slope, | S = 0.0001 | Temperature, F | T = 55 |
| Hydraulic Radius, ft | R = 10.68 | viscosity, ft2/s | |
| Width, ft | B = 40 | Median Particle Size, ft | dsi = 0.00232 |
| Velocity, ft/s | V = 5.46 | 65% finer Particle Size, ft | d65 = 0.00257 |
|
| Fraction of Total Sediment | pi = 1 |
|
| Unit Weight of Water, lb/ft3 | |
Constants
| Acceleration of gravity, ft/s2 | g=32.2 |
Solution
Nikaradse Roughness Value, using d65, as per Einstein, 1950, p.
|
k_s = 2.57 \times 10 ^{-3} |
Grain-related shear velocity as per Einstein, 1950, p. 10

\displaystyle u'_* = \frac{V}{\left( 5.75 \cdot log \left( 12.27 \cdot \frac{r'}{k_s} \right) \right)}
Check u'_* =0.169
Check for hydraulically rough or smooth grains…

Check u'_* =0.169
Check for Transitional regime
**Note**
Einstein's method for determining u' was compared with Toffaleti's graphical approach. Results showed that the two methods are in acceptable agreement, with differences on the order of less than 3%. Einstein's approach was selected for its established reputation and its relative simplicity.
Toffaleti coefficients, A and k4,
|
\displaystyle A_{factor} = \frac{\left( 10^5 \cdot \nu \right)^{\frac{1}{3}}}{10 \cdot u'_*} |
|
\displaystyle A= \left| \begin{array} 1 \left( 9.5987 \cdot A_{factor}^{-1.5445} \right) & if \; A_{factor} \leq 0.5 \\ \left( 39.079 \cdot A_{factor}^{0.481} \right) & if \; 0.5 < A_{factor} \leq 0.66 \\ \left( 221.85 \cdot A_{factor}^{4.660} \right) & if \; 0.66 < A_{factor} \leq 0.72 \\ 48 & f \; 0.72 < A_{factor} \leq 1.3 \\ \left( 22.594 \cdot A_{factor}^{2.872} \right) & if \; A_{factor} > 1.3 \end{array} |
|
\displaystyle k_{4Factor} = \frac{\left( 10^5 \cdot \nu \right) ^{\frac{1}{3}}}{10 \cdot u'_*} \cdot 10^5 \cdot S \cdot d_{65} |
|
\displaystyle k_4 = \left| \begin{array} 1 \left( 1.0 \right) & if \; k_{4Factor} \leq 0.25 \\ \left( 5.315 \cdot k_{4Factor}^{0.1.205} \right) & if \; 0.25 < k_{4Factor} \leq 0.35 \\ \left( 0.510 \cdot k_{4Factor}^{-1.028} \right) & if \; k_{4Factor} > 0.35 \end{array} |
Check for too low values for the product Ak_4,
|
\displaystyle Ak_4 = \left| \begin{array} 1 16 & if \; Ak_4 < 16 \\ Ak_4 & if \; Ak_4 \geq 16 \end{array} |
More Coefficients,
|
T_T = 1.10 \cdot (0.051+0.00009 \cdot T ) |
|
n_V =-.1198+0.00048 \cdot T |
|
c_z =260.67-0.667 \cdot T |
Fall Velocity for Medium Sand from Toffaleti Tables at 55 degrees F,
|
\displaystyle z_i = \frac{w_i \cdot V}{c_z \cdot R \cdot S} |
|
\displaystyle z_i = \left| \begin{array} 1 (1.5 \cdot n_v ) & if \; z_i < n_v \\ z_i & otherwise \end{array} |
Empirical Relationship for g_{ssLi},
|
\displaystyle g_{ssLi} = \frac{0.600 \cdot p_i}{\left( \frac{T_T \cdot Ak_4}{V^2} \right)^{\frac{5}{3}} \cdot \left( \frac{d_{si}}{0.00058} \right) ^{\frac{5}{3}}} |
|
M_i = 2.948 \times 10^{-10} |
Concentration,
|
\displaystyle C_{Li} = \frac{M_i}{43.2 \cdot p_i \cdot (1+n_{_V}) \cdot V \cdot R ^{0.756 \cdot z_i -n_{_V}}} |
|
C_{Li} = 1.425 \times 10^{-18} |
Check for unrealistically high concentration and adjust Mi if necessary,
|
\displaystyle C_{2d} = C_{Li} \cdot \left( \frac{2 \cdot d_{si}}{R} \right) ^{-0.756 \cdot z_i} |
|
\displaystyle C_{Li} = \left| \begin{array} 1 C_{Li} & if \; C_{2d} <100 \\ \frac{100}{\left( \frac{2 \cdot d_{si}}{R} \right) ^{-0.756 \cdot z_i}} & if \; C_{2d} \geq 100 \end{array} |
|
C_{Li} = 1.425 \times 10^{-18} |
|
\displaystyle M_i = C_{Li} \cdot \left[ 43.2 \cdot p_i \cdot (1+ n_{_V} ) \cdot V \cdot R^{0.756 \cdot z_i - n_{_V}} \right] |
|
M_i = 2.948 \times 10^{-10} |
Bed Load Transport,
|
\displaystyle g_{sbi} = M_i \cdot (2 \cdot d_{si} ) ^{(1+ n_{_V} -0.756z_i )} |
Lower Layer Transport,
|
\displaystyle g_{ssLi} = M_i \cdot \left[ \frac{ \left( \frac{R}{11.24} \right) ^{(1+ n_{_V} -0.756 \cdot z_i)} - (2 \cdot d_{si} ) ^{(1+ n_{_V} -0.756 \cdot z_i)}}{1+ n_{_V} -0.756 \cdot z_i} \right] |
Middle Layer Transport,
|
\displaystyle g_{ssMi} = M_i \cdot \frac{\left( \frac{R}{11.24} \right)^{0.244 \cdot z_i} \cdot \left[ \left( \frac{R}{2.5} \right) ^{1+ n_{_V} -z_i} - \left( \frac{R}{11.24} \right)^{1+ n_{_V} -z_i} \right]}{1+ n_{_V} -z_i} |
|
g_{ssMi} = 5.674 \times 10^{-1} |
Upper Layer Transport,
|
\displaystyle g_{ssUi} = M_i \cdot \frac{\left( \frac{R}{11.24} \right)^{0.244 \cdot z_i} \cdot \left( \frac{R}{2.5} \right) ^{0.5 \cdot z_i} \cdot \left[ R^{(1+ n_{_V} -1.5z_i)} - \left( \frac{R}{2.5} \right)^{1+ n_{_V} -1.5z_i} \right]}{1+ n_{_V} -1.5z_i} |
|
g_{ssUi} = 1.72 \times 10^{-15} |
Total Transport per Unit Width,
|
g_{si} = g_{sbi} + g_{ssLi} + g_{ssMi} + g_{ssUi} |
Total Transport,
Yang Sediment Transport Function
by Yang, from ASCE Journal of Hydraulics, Oct 1973, Dec 1984
Input Parameters
| Temperature, F | T = 55 | Average Velocity, ft/s | V = 5.46 |
| Kinematic viscosity, ft2/s | | Discharge, ft3/s | Q=5000 |
| Hydraulic Radius, ft | R = 10.68 | Unit Weight water, lb/ft3 | |
| Slope | S = 0.0001 |
|
|
| Median Particle Diamter, ft | dsi = 0.00232 |
|
|
| Specific Gravity of Sediment | s = 2.65 |
|
|
Constants
| Acceleration of gravity, ft/s2 | g=32.2 |
Solution
Shear Velocity, ft/s,
|
\displaystyle u_* = \sqrt{g \cdot R \cdot S} |
Particle Fall Velocity, ft/s,
Use Rubey's equation, Vanoni p. 169
|
\displaystyle F_1 = \sqrt{\frac{2}{3} + \frac{36 \cdot \nu ^2}{g \cdot d_{si}^3 \cdot (s-1)}} - \sqrt{\frac{36 \cdot \nu ^2}{g \cdot d_{si}^3 \cdot (s-1)}} |
|
\displaystyle \omega F_1 \cdot \sqrt{(s-1) \cdot g \cdot d_{si}} |
Shear Reynold's Number,
|
\displaystyle R_s = \frac{u_* \cdot d_{si}}{\nu} |
Critical Velocity, ft/s,
|
\displaystyle V_{cr} = \left| \begin{array} 1 \omega \cdot \Bigg( \frac{2.5}{log(\frac{u_* \cdot d_{si}}{\nu}) -0.66} +0.66 \Big) & if \; 0<R_s <70 \\ (\omega \cdot 2.05) & if \; R_s \geq 70 \end{array} |
Log of Concentration,
|
\displaystyle log \cdot C_t = \left| \begin{array}1 \begin{bmatrix} 5.435-0.286 \cdot log (\frac{\omega \cdot d_{si}}{\nu}) -0.457 \cdot log (\frac{u_*}{\omega}) ... \\ + (1.799-0.409 \cdot log( \frac{\omega \cdot d_{si}}{\nu})-0.314 \cdot log(\frac{u_*}{\omega})) \cdot log (\frac{V \cdot S}{\omega} -\frac{V_{cr} \cdot S}{\omega}) \end{bmatrix} & if \; d_{si} <0.00656 & Sand \\ \begin{bmatrix} (6.681-0.633 \cdot log (\frac{\omega \cdot d_{si}}{\nu}) -4.816 \cdot log (\frac{u_*}{\omega}) ) ... \\ + (2.784-0.305 \cdot log( \frac{\omega \cdot d_{si}}{\nu})-0.282 \cdot log(\frac{u_*}{\omega})) \cdot log (\frac{V \cdot S}{\omega} -\frac{V_{cr} \cdot S}{\omega}) \end{bmatrix} & if \; d_{si} \geq 0.00656 & Gravel \end{array} |
Concentration, ppm
Sediment Discharge, lb/s
|
\displaystyle G= \frac{\gamma _q \cdot Q \cdot C_t}{1000000} |
Sediment Discharge, tons/day
|
\displaystyle G_s = \frac{86400}{2000} \cdot G |