Download PDF
Download page Pipe Network - Surface Flow Boundaries.
Pipe Network - Surface Flow Boundaries
Interactions between the pipe network and surface 1D channels, 2D areas, or storage areas fall into one of the three categories listed below.
Boundary Conditions
Users may define inflow, stage, or normal depth boundary conditions at pipe nodes. Because of assumptions in the computational geometry of the pipe network, specific types of boundary conditions are only allowed at certain node types. A graphical description of these node types and the allowable boundary conditions for each of them is given in Pipe Network - Geometry.
Flow
Prescribed boundary flows entering the pipe network at nodes are assumed to enter vertically through drop inlets or curb openings. As such, they enter the system as source flows without any initial momentum.
Stage
Stage boundaries are applied at External node types and set a hydraulic head (water surface elevation + pressure head) at the most downstream computational face of a conduit. The user-entered value may be overridden when it drops below a minimum depth in the pipe. This is done to prevent model instability. The minimum boundary depth is a function of the flow at the outlet and the slope of the pipe. It is calculated assuming the low elevation, user-defined stage boundary results in plunging flow at the outfall location (see Plunging Flow in Pipe Systems).
Pumping
At any node, users may define pump connections using the pipe network node as either the pump inlet or outlet. With this boundary condition water can be moved into, out of, or within the pipe system.
Flow at Drop Inlets
At each node cell where a drop inlet is defined, water may move between the pipe network and the overlying surface water geometry. Flow into the pipe network is computed based on a family of rating curves developed to relate flow to water surface elevations in the pipe cell and the surface cell. The rating table is developed using both the weir and orifice equations:
| Q_{\textrm{inlet}} = \textrm{sgn}(z_{\textrm{sfc}} - H_{\textrm{pipe}}) \,\, \textrm{min} (C_{\textrm{w}} \, L_{\textrm{in}} \Delta H^{3/2}, \,\, C_{\textrm{o}} \, A_{\textrm{in}} \sqrt{2g\Delta H}) |
where
C_{\textrm{w}} is the weir coefficient,
C_{\textrm{o}} is the orifice coefficient,
L_{\textrm{in}} is the inlet length,
A_{\textrm{in}} is the inlet area, all specified for a given drop inlet,
z_{\textrm{sfc}} is the water surface elevation of the surface water above the drop inlet,
H_{\textrm{pipe}} is the hydraulic head of the pipe node cell below the drop inlet, and
\Delta H is the head differential at the drop inlet.
The head differential at the drop inlet is calculated taking into account the pipe and surface water levels, as well as the drop inlet crest elevation.
| \Delta H = \textrm{max}(z_{\textrm{sfc}}, H_{\textrm{pipe}}, z_{\textrm{crest}}) - \textrm{max}(\textrm{min}(z_{\textrm{sfc}}, H_{\textrm{pipe}}), z_{\textrm{crest}}) |
where z_{\textrm{crest}} defines the minimum elevation at which flow can move between the pipe network and surface water elements. z_{\textrm{crest}} is calculated as the maximum of three elevations:
- the user-defined drop inlet invert elevation,
- the user-defined terrain override value, and
- the minimum elevation of the surface computational element.
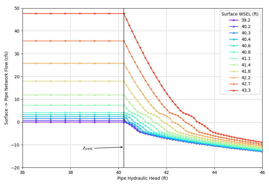
An example set of ratings curves is shown below. Positive flow is defined as flow from the surface element to the pipe network. Negative flow indicates a surcharge situation, with flow from the pipe network to the surface area. Drop inlet flows enter the system as source flows without any initial momentum.

Flow at Culvert Openings
For culvert opening type nodes, it is assumed that the pipe opens horizontally out to the surface area. Flow between the pipe and the surface area is computed by the model using the water surface elevations inside and outside of the end of the pipe. Flow into culvert openings are controlled by the inlet geometry (inlet control) or by conduit and outlet conditions dynamically throughout the simulation. Two conditions are handled as special cases:
- When the invert of the culvert is below the 2D cell invert (or storage area invert), a weir equation is used to limit flow into the pipe. This prevents the situation where a surface cell becomes wet and generates a high water surface slope between the surface cell and the pipe cell, which creates unrealistically large flows into the pipe and may drain the surface cell. In this case, the span of the pipe cross-section is used as the weir length, and the weir coefficient is set at 2.0.

- When the invert of the pipe outlet is significantly above the surface terrain surface, plunging flow may occur from the pipe end to the surface cell. In this case, a downstream stage boundary condition is applied at the end of the pipe, as described in Plunging Flow in Pipe Systems.