Download PDF
Download page Computational Time Step.
Computational Time Step
In the development of any unsteady flow model, stability and numerical accuracy can be improved by selecting a time step that satisfies the Courant condition. This is very important for a dam break model. Too large a time step will cause numerical diffusion (attenuation of the peak) and possibly model instability. Too small of a time step can lead to very long computation times, as well as possible model instability.
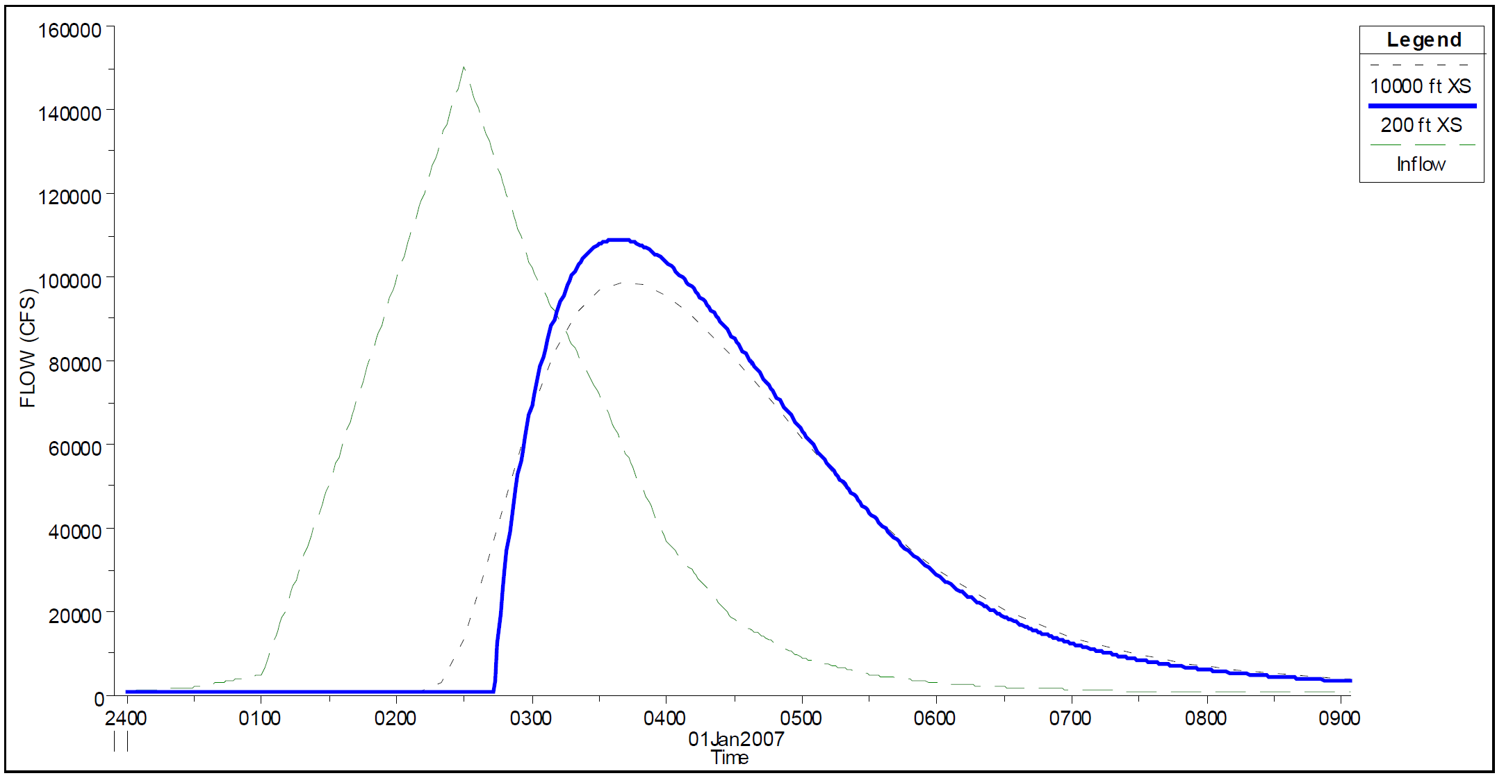
Too large of a time step: When the solution scheme solves the unsteady flow equations, derivatives are calculated with respect to distance and time. If the changes in hydraulic properties at a given cross section are changing rapidly with respect to time, too large of a time step may cause over estimation (too steep) of the time based derivatives, causing the calculations to become unstable. The solution to this problem in general is to decrease the time step. Even if the calculations do not go unstable, too large of a time step will cause numerical attenuation of the hydrograph that is not physically related. An example of a model with varying time steps is shown in the figure below. In this example, all things in the model were exactly identical, except one run was done with a 1 minute time step (appropriate for this model), and the other was done with a 10 minute time step (too large for this model).

As shown in the figure below, the run with the 10 minute time step has a 10% lower peak flow, and the flood wave is much more spread out (diffused) than the run with the 1 minute time step.


Too Small of a Time Step. If a time step is selected that is much smaller than what the Courant Condition would suggest for a given flood wave, then model run times will be much longer than necessary, and this can also cause model stability problems. In general, a time step that is to small will cause the leading edge of the flood wave to steepen, possible to the point of oscillating and going unstable. Extremely small time steps (less than 0.1 seconds) can possibly cause round off errors when storing numbers in the computer, which in turn can lead to numerical errors which can grow over time.
Time Step Selection. As mentioned above, the best way to estimate a computational time step for HEC-RAS is to use the Courant Condition. This is especially important for dam break flood studies. The Courant Condition is the following:
| \displaystyle C= \frac{V_w \Delta T}{\Delta X} \leq 1 |
and therefore, assuming a Courant number of 1 yields:
| \displaystyle \Delta T \leq \frac{\Delta x}{V_w} |
| Symbol | Description | Units |
|---|---|---|
C | Courant Number | |
\Delta T | Time step | seconds |
\Delta X | Distance step | feet |
V_w | Wave speed | ft/s |
The flood wave speed is based on capturing the speed of the rising side of the flood wave as it propagates downstream. Flood wave speed is most accurately calculated in the area of the initial rise of the flood wave, where there is the largest change in discharge with respect to the change in cross sectional area (this is the leading edge of the dam break flood wave). The equation for calculating flood wave speed is:
| \displaystyle V_w = \frac{dQ}{dA} |
| Symbol | Description | Units |
|---|---|---|
V_w | Flood wave speed | ft/s |
dQ | The change in discharge over a short time interval (Q2 – Q1) | |
dA | The change in cross section area over a short time interval (A2 – A1) |
Note: dQ/dA can be approximated by calculating the change in discharge and flow area at a single cross section over a single computational time step. This should be done while the flood wave's initial abrupt rise is occurring at that cross section.
For practical applications of the Courant Condition, the user can take maximum average velocity from HEC-RAS and multiply it by 1.5, to get a rough estimate of flood wave speed in natural cross sections.
For medium to large rivers the Courant Condition may yield time steps that are too restrictive (i.e. a larger time step could be used and still maintain accuracy and stability). A practical time step can be estimated as:
| \displaystyle \Delta t \leq \frac{T_r}{20} |
However, treat this estimate as an upper limit. Remember that for dam break models, typical time steps are in the range of 1- 60 seconds due to the short time of rise and very fast flood wave velocities.